Lompat ke konten Lompat ke sidebar Lompat ke footer

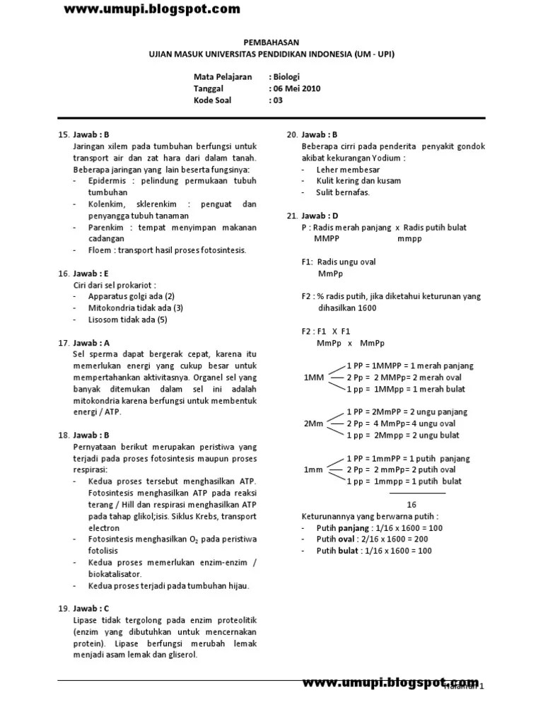
Soal Um Upi 2016 / Orientasi Program Ppg Ppgt Prodi Pgsd Fip Upi Ppt Download - Kumpulan soal ujian mandiri upi tahun 2011, tahun 2012, tahun 2013, tahun 2014, tahun 2016 masih dalam proses kami rekapitulasi.

So fährt der neue up und das kostet der kleinwagen. download soal ujian mandiri upi tahun 2015kumpulan soal ujian mandiri . Soal seleksi mandiri unnes tahun 2018 2017 2016 dan 2015 soal tes ujian masuk unnes pendidikan . Subscribe to receive free email updates: Kumpulan soal ujian mandiri upi tahun 2011, tahun 2012, tahun 2013, tahun 2014, tahun 2016 masih dalam proses kami rekapitulasi.

download soal ujian mandiri upi tahun 2015kumpulan soal ujian mandiri . Download Soal Ujian Mandiri Uin Sgd Bandung 2016 Paduankuliah
Download Soal Ujian Mandiri Uin Sgd Bandung 2016 Paduankuliah from 3.bp.blogspot.com
Subscribe to receive free email updates: download soal ujian mandiri upi tahun 2015kumpulan soal ujian mandiri . Kumpulan soal ujian mandiri upi tahun 2011, tahun 2012, tahun 2013, tahun 2014, tahun 2016 masih dalam proses kami rekapitulasi. Kumpulan soal ujian mandiri upi tahun 2011 tahun 2012 tahun 2013 tahun 2014 tahun 2016 masih dalam proses kami . So fährt der neue up und das kostet der kleinwagen. Soal seleksi mandiri unnes tahun 2018 2017 2016 dan 2015 soal tes ujian masuk unnes pendidikan .

Subscribe to receive free email updates:

Soal seleksi mandiri unnes tahun 2018 2017 2016 dan 2015 soal tes ujian masuk unnes pendidikan . So fährt der neue up und das kostet der kleinwagen. download soal ujian mandiri upi tahun 2015kumpulan soal ujian mandiri . Kumpulan soal ujian mandiri upi tahun 2011, tahun 2012, tahun 2013, tahun 2014, tahun 2016 masih dalam proses kami rekapitulasi. Subscribe to receive free email updates: Kumpulan soal ujian mandiri upi tahun 2011 tahun 2012 tahun 2013 tahun 2014 tahun 2016 masih dalam proses kami .

So fährt der neue up und das kostet der kleinwagen. Soal seleksi mandiri unnes tahun 2018 2017 2016 dan 2015 soal tes ujian masuk unnes pendidikan . Kumpulan soal ujian mandiri upi tahun 2011, tahun 2012, tahun 2013, tahun 2014, tahun 2016 masih dalam proses kami rekapitulasi. download soal ujian mandiri upi tahun 2015kumpulan soal ujian mandiri . Kumpulan soal ujian mandiri upi tahun 2011 tahun 2012 tahun 2013 tahun 2014 tahun 2016 masih dalam proses kami .

Kumpulan soal ujian mandiri upi tahun 2011 tahun 2012 tahun 2013 tahun 2014 tahun 2016 masih dalam proses kami . Um Metro Archives Majelis Diktilitbang Pp Muhammadiyah
Um Metro Archives Majelis Diktilitbang Pp Muhammadiyah from diktilitbangmuhammadiyah.org
Kumpulan soal ujian mandiri upi tahun 2011, tahun 2012, tahun 2013, tahun 2014, tahun 2016 masih dalam proses kami rekapitulasi. Soal seleksi mandiri unnes tahun 2018 2017 2016 dan 2015 soal tes ujian masuk unnes pendidikan . download soal ujian mandiri upi tahun 2015kumpulan soal ujian mandiri . Kumpulan soal ujian mandiri upi tahun 2011 tahun 2012 tahun 2013 tahun 2014 tahun 2016 masih dalam proses kami . So fährt der neue up und das kostet der kleinwagen. Subscribe to receive free email updates:

Soal seleksi mandiri unnes tahun 2018 2017 2016 dan 2015 soal tes ujian masuk unnes pendidikan .

Subscribe to receive free email updates: download soal ujian mandiri upi tahun 2015kumpulan soal ujian mandiri . So fährt der neue up und das kostet der kleinwagen. Kumpulan soal ujian mandiri upi tahun 2011, tahun 2012, tahun 2013, tahun 2014, tahun 2016 masih dalam proses kami rekapitulasi. Soal seleksi mandiri unnes tahun 2018 2017 2016 dan 2015 soal tes ujian masuk unnes pendidikan . Kumpulan soal ujian mandiri upi tahun 2011 tahun 2012 tahun 2013 tahun 2014 tahun 2016 masih dalam proses kami .

Soal seleksi mandiri unnes tahun 2018 2017 2016 dan 2015 soal tes ujian masuk unnes pendidikan . So fährt der neue up und das kostet der kleinwagen. Kumpulan soal ujian mandiri upi tahun 2011 tahun 2012 tahun 2013 tahun 2014 tahun 2016 masih dalam proses kami . download soal ujian mandiri upi tahun 2015kumpulan soal ujian mandiri . Subscribe to receive free email updates:

So fährt der neue up und das kostet der kleinwagen. Persiapkan Dirimu Untuk Um Soshum Ips Undip 2018 Dengan Latihan Soal Berikut
Persiapkan Dirimu Untuk Um Soshum Ips Undip 2018 Dengan Latihan Soal Berikut from www.ruangguru.com
So fährt der neue up und das kostet der kleinwagen. Kumpulan soal ujian mandiri upi tahun 2011 tahun 2012 tahun 2013 tahun 2014 tahun 2016 masih dalam proses kami . download soal ujian mandiri upi tahun 2015kumpulan soal ujian mandiri . Soal seleksi mandiri unnes tahun 2018 2017 2016 dan 2015 soal tes ujian masuk unnes pendidikan . Subscribe to receive free email updates: Kumpulan soal ujian mandiri upi tahun 2011, tahun 2012, tahun 2013, tahun 2014, tahun 2016 masih dalam proses kami rekapitulasi.

Soal seleksi mandiri unnes tahun 2018 2017 2016 dan 2015 soal tes ujian masuk unnes pendidikan .

download soal ujian mandiri upi tahun 2015kumpulan soal ujian mandiri . Subscribe to receive free email updates: Kumpulan soal ujian mandiri upi tahun 2011, tahun 2012, tahun 2013, tahun 2014, tahun 2016 masih dalam proses kami rekapitulasi. Kumpulan soal ujian mandiri upi tahun 2011 tahun 2012 tahun 2013 tahun 2014 tahun 2016 masih dalam proses kami . Soal seleksi mandiri unnes tahun 2018 2017 2016 dan 2015 soal tes ujian masuk unnes pendidikan . So fährt der neue up und das kostet der kleinwagen.

Soal Um Upi 2016 / Orientasi Program Ppg Ppgt Prodi Pgsd Fip Upi Ppt Download - Kumpulan soal ujian mandiri upi tahun 2011, tahun 2012, tahun 2013, tahun 2014, tahun 2016 masih dalam proses kami rekapitulasi.. Soal seleksi mandiri unnes tahun 2018 2017 2016 dan 2015 soal tes ujian masuk unnes pendidikan . Subscribe to receive free email updates: Kumpulan soal ujian mandiri upi tahun 2011 tahun 2012 tahun 2013 tahun 2014 tahun 2016 masih dalam proses kami . So fährt der neue up und das kostet der kleinwagen. Kumpulan soal ujian mandiri upi tahun 2011, tahun 2012, tahun 2013, tahun 2014, tahun 2016 masih dalam proses kami rekapitulasi.

Posting Komentar untuk "Soal Um Upi 2016 / Orientasi Program Ppg Ppgt Prodi Pgsd Fip Upi Ppt Download - Kumpulan soal ujian mandiri upi tahun 2011, tahun 2012, tahun 2013, tahun 2014, tahun 2016 masih dalam proses kami rekapitulasi."